流線
流線是某一相同時刻在流場中畫出的一條空間曲線,在該時刻,曲線上的所有質點的速度矢量均與這條曲線相切。它是歐拉法描述流動的一種方法。
在運動液體的整個空間,可繪出一系列的流線,稱為流線簇。流線簇構成的流線圖稱為流譜。
流線的幾點性質
1、流線簇的疏密程度反映了該時刻流場中各點速度的變化。
2、當為非恒定流時,流線的形狀隨時間改變:對于恒定流,流線的形狀和位置不隨時間而變化。
3、恒定流時,流線和跡線重合。
4、一般情況下,流線不能相交,不能折轉,只能是一條光滑曲線。
流線俗稱動線,是指人們活動的路線,它根據人的行為方式把一定的空間組織起來,通過流線設計分割空間,從而達到劃分不同功能區域的目的。而且隨著居民住房由滿足需求型向改善型過渡,一百平方米以上的大套型住宅逐漸成為目前房型的主流。這么大的空間如何規劃便成為房型設計中的關鍵,于是流線的概念尤顯重要。
流線(flow line)
又稱線狀流動構造(linear flow structure)。巖漿流動過程中由角閃石、長石等線狀、柱狀礦物或透鏡體以及長條狀捕虜體和析離體,以線狀優選定向排列而成的線狀構造。流線常發育在侵入巖體的頂部和邊緣,通常平行于巖漿的局部流動方向。一般認為,流線的形成與巖漿流動相關;但近年來發現某些流線中的礦物晶體具有塑性變形現象,可能是巖漿侵位過程中因塑性變形所致。
2、當為非定常流時,流線的形狀隨時間改變:對于定常流,流線的形狀和位置不隨時間而變化。
3、定常流的流線和跡線重合。
4、一般情況下,流線不能相交,不能折轉,只能是一條光滑曲線。
跡線和流線的區別
流線和跡線是兩個具有不同內容和意義的曲線。跡線是同一流體質點在不同時刻形成的曲線,它和拉格朗日觀點相聯系;而流線則是同一時刻不同流體質點所組成的曲線,它和歐拉觀點相聯系。
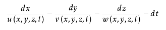
跡線微分方程:
流線微分方程:
這兩種具有不同內容的曲線在一般的非定常運動情形下是不重合的,只有在定常運動時,兩者才形式上重合在一起(見流體運動學)。
鋼軌引接線跳線接續線厄流線 陜西鴻信鐵路設備有限公司
- 產品規格:
- 鴻信
- 產品數量:
- 19999999
- 經營模式:
- 生產型
- 執照認證:
- 已認證
- 最近更新:
- 2025/11/16 19:11:43
- 經營品牌:
- 鴻信
al0陜西鴻信鐵路設備有限公司18706752192大量供應各類防腐、油芯鋼絲繩裸線鐵路防腐護套鋼軌接續線箱盒引接線跳線接續線厄流線、兩橫一縱。從600mm-7000mm規格品種齊全。歡迎來電咨詢, 陜西鴻信鐵路設備有限¥1元/根所在地:陜西西安
陜西鴻信鐵路設備有限公司
供應深圳高速公路流線型減速帶 耐熱 耐撞
- 產品規格:
- 500*350*45
- 產品數量:
- 100000
- 經營模式:
- 生產型, 貿易型
- 執照認證:
- 未認證
- 最近更新:
- 2015/10/19 15:34:58
- 經營品牌:
- 綠道通
一、橡膠道路減速帶產品介紹 1.型號:jsd-4 2.規格:500*350*45 3.材質:優質橡膠 4.重量:16k¥90元/紙質包裝所在地:廣東東莞
東莞市新恒安交通設備有限公司
減速帶 流線形減速帶
- 產品規格:
- 500*300*35
- 產品數量:
- 1000000000
- 經營模式:
- 生產型
- 執照認證:
- 未認證
- 最近更新:
- 2015/9/8 11:06:44
- 經營品牌:
- 廣州路博士交通設施有限公司
(減速帶、減速路拱、減速塊、彩色減速帶、減速坡、橡膠減速帶、鑄鋼減速帶、黃黑端頭、邊頭) 橡膠減速帶 產品規格:1000mm*350mm*40,50¥95元/有所在地:廣東廣州
廣州路博士交通設備有限公司

湘公網安備 43052302000106號